Table Flip Ascii Art Poster Minimalist Prints Ascii Art Table Flip

Table Flip Ascii Art Poster Minimalist Prints Ascii Art Table Flip

Lehigh Table Flip Pin Cute Pins Pin And Patches Jacket Pins

Lehigh Table Flip Pin Cute Pins Pin And Patches Jacket Pins

Pin By Jess On What To Wear Table Flip Pin Lehigh

Pin By Jess On What To Wear Table Flip Pin Lehigh

Https Encrypted Tbn0 Gstatic Com Images Q Tbn And9gcs8sralg9ss Ljxbvimdcfrwdmrj8sjbqv2vq Usqp Cau

Https Encrypted Tbn0 Gstatic Com Images Q Tbn And9gcs8sralg9ss Ljxbvimdcfrwdmrj8sjbqv2vq Usqp Cau

>

A Handy Easter Egg For The Android Users Google Hangouts Table Flip Emoticon

A Handy Easter Egg For The Android Users Google Hangouts Table Flip Emoticon

Table Flip Flipping Rage Face Meme Coffee Mug Zazzle Com Mugs Table Flip Coffee Mugs Vintage

Table Flip Flipping Rage Face Meme Coffee Mug Zazzle Com Mugs Table Flip Coffee Mugs Vintage

This Is Seriously My Most Used Expression I M Pretty Sure I Shrug Like This More Than I Smile Entp Personality Type Infp Personality Infj

This Is Seriously My Most Used Expression I M Pretty Sure I Shrug Like This More Than I Smile Entp Personality Type Infp Personality Infj

Table Flip Flipping Rage Face Meme Flyer Zazzle Ca Rage Faces Table Flip Memes

Table Flip Flipping Rage Face Meme Flyer Zazzle Ca Rage Faces Table Flip Memes

Keep Calm And Replace Furniture Sticker Zazzle Com Unique Greeting Cards Keep Calm Stickers

Keep Calm And Replace Furniture Sticker Zazzle Com Unique Greeting Cards Keep Calm Stickers

O How To Add Text Art To Messages On Your Iphone Cool Text Symbols Text Art Text Symbols

O How To Add Text Art To Messages On Your Iphone Cool Text Symbols Text Art Text Symbols

Funny Texts Messages All The Single Ladies 30 New Ideas Funny Funnycomics Fun Fun Funny Funnycomic In 2020 Funny Text Messages Funny Texts Funny Texts Jokes

Funny Texts Messages All The Single Ladies 30 New Ideas Funny Funnycomics Fun Fun Funny Funnycomic In 2020 Funny Text Messages Funny Texts Funny Texts Jokes

Read More Https Www Luerzersarchive Com En Magazine Print Detail The Type Museum 28834 Html The Type Typographic Portrait Letterpress Type Typography Poster

Read More Https Www Luerzersarchive Com En Magazine Print Detail The Type Museum 28834 Html The Type Typographic Portrait Letterpress Type Typography Poster

Cause Either Way This Goes At The End Of The Day I Care But At The Same Time I Dont Their Problems Were Never Mine I Don Pin And Patches Emoji Pin Enamel

Cause Either Way This Goes At The End Of The Day I Care But At The Same Time I Dont Their Problems Were Never Mine I Don Pin And Patches Emoji Pin Enamel

Confusion Hurts Pin Pin And Patches Jacket Pins Cute Pins

Confusion Hurts Pin Pin And Patches Jacket Pins Cute Pins

Over 10 000 Japanese Emoticons Kaomoji Dongers Japanese Emoticon All Japanese

Over 10 000 Japanese Emoticons Kaomoji Dongers Japanese Emoticon All Japanese

Ascii Shirt Sassy Shirts Shirts Sweatshirts

Ascii Shirt Sassy Shirts Shirts Sweatshirts

Il 570xn 694416495 Yd63 Jpg 336 411 Initial Prints Monogram Initials Initials

Il 570xn 694416495 Yd63 Jpg 336 411 Initial Prints Monogram Initials Initials

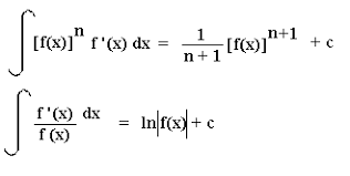
Integration By Substitution Advanced Level Maths Revision Pure Maths Calculus Integration Substitution Mathsre Math Integration By Substitution Calculus

Integration By Substitution Advanced Level Maths Revision Pure Maths Calculus Integration Substitution Mathsre Math Integration By Substitution Calculus

Jpeg Pin Enamel Pins Vaporwave Clothing Vaporwave

Jpeg Pin Enamel Pins Vaporwave Clothing Vaporwave

Pin On Quotes

Pin On Quotes

Letter D Printable Initial Single Minimalist Letter Wall Art Etsy In 2020 Letter Wall Art Typography Wall Art Etsy Wall Art

Letter D Printable Initial Single Minimalist Letter Wall Art Etsy In 2020 Letter Wall Art Typography Wall Art Etsy Wall Art

19 Utterly Terrible Life Hacks That Won T Work But Will At Least Make You Laugh In 2020 Laugh Tumblr Funny Life Hacks

19 Utterly Terrible Life Hacks That Won T Work But Will At Least Make You Laugh In 2020 Laugh Tumblr Funny Life Hacks

Https Encrypted Tbn0 Gstatic Com Images Q Tbn And9gct7bsfqel3fbtpyzkwa7bfsngkgmy3aem3wutew78de4qpkwa0e Usqp Cau

Https Encrypted Tbn0 Gstatic Com Images Q Tbn And9gct7bsfqel3fbtpyzkwa7bfsngkgmy3aem3wutew78de4qpkwa0e Usqp Cau

Typography Exploration Joseph Muller Brockmann Poster Cartazes Tipografia Cartaz Diagramacao

Typography Exploration Joseph Muller Brockmann Poster Cartazes Tipografia Cartaz Diagramacao

Of Light Anatomized 3 14 Poems For Pi Day Pi Day Day Poems

Of Light Anatomized 3 14 Poems For Pi Day Pi Day Day Poems

Pin By Thais Quinsler On Beams Pin And Patches Patches Cute Pins

Pin By Thais Quinsler On Beams Pin And Patches Patches Cute Pins

Ascii Table Keyboard Layout 150g German Switzerland Luxembourg Keyboard Lessons Keyboard Learn German

Ascii Table Keyboard Layout 150g German Switzerland Luxembourg Keyboard Lessons Keyboard Learn German

Neutral Art Print Random Abstract Shapes Poster Minimalist Etsy In 2020 Neutral Art Abstract Shapes Art Prints

Neutral Art Print Random Abstract Shapes Poster Minimalist Etsy In 2020 Neutral Art Abstract Shapes Art Prints

Affirmative Enamel Pin Post Card Printed Front And Back Pin Is 1 Inch Iris West Pin And Patches Pins

Affirmative Enamel Pin Post Card Printed Front And Back Pin Is 1 Inch Iris West Pin And Patches Pins

I Ll Be Ok Sword Pin Enamel Pins Pin And Patches Just Peachy

I Ll Be Ok Sword Pin Enamel Pins Pin And Patches Just Peachy

Amazon Com Unomor Luau Tropical Hawaiian Party Decoration Set Including 9ft Luau Table Skirt With Hawaiian Party Decorations Hawaiian Party Party Decorations

Amazon Com Unomor Luau Tropical Hawaiian Party Decoration Set Including 9ft Luau Table Skirt With Hawaiian Party Decorations Hawaiian Party Party Decorations

Emojis For Twitter Twitter Emoji List Emoji Emoji List Emoji Quiz

Emojis For Twitter Twitter Emoji List Emoji Emoji List Emoji Quiz

Free Cake Contract Template Beautiful Birthday Party Agreement Form Special 78 About Cake In 2020 Contract Template Wedding Cake Order Form Wedding Cake Contract

Free Cake Contract Template Beautiful Birthday Party Agreement Form Special 78 About Cake In 2020 Contract Template Wedding Cake Order Form Wedding Cake Contract

By Bob Cobbing 1966 Visual Poetry Poetry Typography Letters

By Bob Cobbing 1966 Visual Poetry Poetry Typography Letters

Forest Gospel House Of Leaves By Mark Z Danielewski House Of Leaves Mark Z Marks

Forest Gospel House Of Leaves By Mark Z Danielewski House Of Leaves Mark Z Marks

A Great Indie Puzzle Game That Is Gaining International Attention Create Elements By Combining Their Components Science Is Fun Puzzle Game Puzzle Games

A Great Indie Puzzle Game That Is Gaining International Attention Create Elements By Combining Their Components Science Is Fun Puzzle Game Puzzle Games

Ascii Html Table Dos Ascii Versus Html Characters Ascii Character Software Development

Ascii Html Table Dos Ascii Versus Html Characters Ascii Character Software Development

Pin On Typography

Pin On Typography

Wales Golf Madrid In Dieser Reihenfolge Iphone Hulle Cover Tehran Iran Map Art Iran

Wales Golf Madrid In Dieser Reihenfolge Iphone Hulle Cover Tehran Iran Map Art Iran

I Shuriken Ninja Japanese Nihongo Kanji Language T Shirt Zazzle Com In 2020 Shuriken Japanese Shirts

I Shuriken Ninja Japanese Nihongo Kanji Language T Shirt Zazzle Com In 2020 Shuriken Japanese Shirts

With Polka Dots Chevron And Watercolor Flip Flops How Can Anyone Not Love These Summer Lovin Printables So Adora Free Printable Art Printable Art Free Art

With Polka Dots Chevron And Watercolor Flip Flops How Can Anyone Not Love These Summer Lovin Printables So Adora Free Printable Art Printable Art Free Art

Pin By Salemhermit On Pixel Art In 2020 Pixel Art Design Pixel Art Characters Cool Pixel Art

Pin By Salemhermit On Pixel Art In 2020 Pixel Art Design Pixel Art Characters Cool Pixel Art

Https Encrypted Tbn0 Gstatic Com Images Q Tbn And9gcq9ck9jf5p2zrbc Lpa H0gnahoshykugwpog Usqp Cau

Https Encrypted Tbn0 Gstatic Com Images Q Tbn And9gcq9ck9jf5p2zrbc Lpa H0gnahoshykugwpog Usqp Cau

Excited To Share The Latest Addition To My Etsy Shop House Hands Heart Full Unisex Anvil Tri Blend Tee Https Etsy Me Tri Blend Tees Sassy Shirts Tri Blend

Excited To Share The Latest Addition To My Etsy Shop House Hands Heart Full Unisex Anvil Tri Blend Tee Https Etsy Me Tri Blend Tees Sassy Shirts Tri Blend

Facebook Faces Computer Help Emoji Computer

Facebook Faces Computer Help Emoji Computer

I M A Dog Dame T Shirt Sassy Shirts Shirts T Shirt

I M A Dog Dame T Shirt Sassy Shirts Shirts T Shirt

Single Post Dengan Gambar Kreatif Desain

Single Post Dengan Gambar Kreatif Desain

Https Encrypted Tbn0 Gstatic Com Images Q Tbn And9gcrussygftk8wogt0d8gtozc0t5udxmhpdlpy1z Giq Usqp Cau

Https Encrypted Tbn0 Gstatic Com Images Q Tbn And9gcrussygftk8wogt0d8gtozc0t5udxmhpdlpy1z Giq Usqp Cau

Source : pinterest.com