Worked Example Finding A Riemann Sum Using A Table Video Khan Academy

Worked Example Finding A Riemann Sum Using A Table Video Khan Academy

Right And Left Reimann Sums Youtube

Right And Left Reimann Sums Youtube

Midpoint Riemann Sums Youtube

Midpoint Riemann Sums Youtube

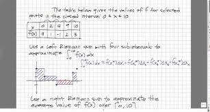
Question Video Estimating The Definite Integration Of A Function In A Given Interval By Dividing It Into Subintervals And Using The Left Endpoint Of The Subintervals

Question Video Estimating The Definite Integration Of A Function In A Given Interval By Dividing It Into Subintervals And Using The Left Endpoint Of The Subintervals

Day 12 Lesson Riemann Sums With Tables Youtube

Day 12 Lesson Riemann Sums With Tables Youtube

Riemann And Trapezoidal Sums From Tables Of Values Youtube

Riemann And Trapezoidal Sums From Tables Of Values Youtube

Riemann And Trapezoidal Sums From Tables Of Values Youtube >

Solved Using The Values On The Following Table Evaluate Chegg Com

Solved Using The Values On The Following Table Evaluate Chegg Com

Ch 4 Rieman Sum Table Problems Youtube

Ch 4 Rieman Sum Table Problems Youtube

Motion Problem With Riemann Sum Approximation Video Khan Academy

Motion Problem With Riemann Sum Approximation Video Khan Academy

Riemann Sums Left And Right Sums Youtube

Riemann Sums Left And Right Sums Youtube

Calc 5 2 Riemann Sums Math Calculus Integrals Riemann Sums Showme

Calc 5 2 Riemann Sums Math Calculus Integrals Riemann Sums Showme

76 Riemann Sums Rectangles Day 2 Tables Calculator Required Ppt Download

76 Riemann Sums Rectangles Day 2 Tables Calculator Required Ppt Download

How To Use Left Hand Riemann Sums From A Table Youtube

How To Use Left Hand Riemann Sums From A Table Youtube

Solved D Calculate The Midpoint Riemann Sum F X 2x Chegg Com

Solved D Calculate The Midpoint Riemann Sum F X 2x Chegg Com

Solved Riemann And Trapezoidal Sums From Tables Mar 24 5 Chegg Com

Solved Riemann And Trapezoidal Sums From Tables Mar 24 5 Chegg Com

Please Help Mostly With Explaining How To Do The Chegg Com

Please Help Mostly With Explaining How To Do The Chegg Com

Solved Consider The Following Table Use This Data And A Chegg Com

Solved Consider The Following Table Use This Data And A Chegg Com

Worked Example Over And Under Estimation Of Riemann Sums Video Khan Academy

Worked Example Over And Under Estimation Of Riemann Sums Video Khan Academy

Solved Consider The Following Table Use This Data And A Chegg Com

Solved Consider The Following Table Use This Data And A Chegg Com

Approximating Definite Integrals Left Hand Riemann Sums Ppt Download

Approximating Definite Integrals Left Hand Riemann Sums Ppt Download

Solved 1 Let F X 2x 3 A Use A Riemann Sum To Estimat Chegg Com

Solved 1 Let F X 2x 3 A Use A Riemann Sum To Estimat Chegg Com

Solved 4 The Function F Is Continuous On The Closed Inte Chegg Com

Solved 4 The Function F Is Continuous On The Closed Inte Chegg Com

Solved Suppose G Is Continuous On 1 9 Use The Table O Chegg Com

Solved Suppose G Is Continuous On 1 9 Use The Table O Chegg Com

Solved Let F X 2x 1 Use A Riemann Sum To Estimate The Chegg Com

Solved Let F X 2x 1 Use A Riemann Sum To Estimate The Chegg Com

Https Encrypted Tbn0 Gstatic Com Images Q Tbn And9gctc4keubs5qpviumrmqwbykhtj46c31hm7jxza4l2f71iezd5w0 Usqp Cau

Https Encrypted Tbn0 Gstatic Com Images Q Tbn And9gctc4keubs5qpviumrmqwbykhtj46c31hm7jxza4l2f71iezd5w0 Usqp Cau

6 1 2 Riemann Sums Unequal Widths Youtube

6 1 2 Riemann Sums Unequal Widths Youtube

Solved Worksheet On Riemann Sums And Trapezoidal Rule 1 Chegg Com

Solved Worksheet On Riemann Sums And Trapezoidal Rule 1 Chegg Com

Solved 2 Suppose A Left Riemann Sum Approximates The Are Chegg Com

Solved 2 Suppose A Left Riemann Sum Approximates The Are Chegg Com

Solved For Problems 3 And 4 Given The Table For F X 1 Chegg Com

Solved For Problems 3 And 4 Given The Table For F X 1 Chegg Com

Solved Question 4 The Continuous Function F Is Known To B Chegg Com

Solved Question 4 The Continuous Function F Is Known To B Chegg Com

Solved 1 Calculate The Left Riemann Sum For The Given F Chegg Com

Solved 1 Calculate The Left Riemann Sum For The Given F Chegg Com

X 8x From A 1 To B 2 Ti 83 84 Pora For Left Chegg Com

X 8x From A 1 To B 2 Ti 83 84 Pora For Left Chegg Com

Midpoint Sums Video Khan Academy

Midpoint Sums Video Khan Academy

Solved Evaluate The Riemann Sum For F X 3 1 2 X 2 L Chegg Com

Solved Evaluate The Riemann Sum For F X 3 1 2 X 2 L Chegg Com

Solved Use A Graphing Calculator Riemann Sum Found Here Chegg Com

Solved Use A Graphing Calculator Riemann Sum Found Here Chegg Com

Https Scubamoose Weebly Com Uploads 3 8 8 9 38891105 Cc Riemann Sum Released Frqs Docx Pdf

Https Scubamoose Weebly Com Uploads 3 8 8 9 38891105 Cc Riemann Sum Released Frqs Docx Pdf

Riemann Sums And The Definite Integral

Riemann Sums And The Definite Integral

Solved 3 An Pointa I Prenan Anuers A Graphing Calculator Chegg Com

Solved 3 An Pointa I Prenan Anuers A Graphing Calculator Chegg Com

Solved Calculate The Left Riemann Sum For The Given Funct Chegg Com

Solved Calculate The Left Riemann Sum For The Given Funct Chegg Com

Solved Problem 1 Use The Riemann Program To Approximate 3 Chegg Com

Solved Problem 1 Use The Riemann Program To Approximate 3 Chegg Com

Jfa Tw 9vrngvm

Jfa Tw 9vrngvm

Solved Use A Graphing Calculator Riemann Sum Found Here Chegg Com

Solved Use A Graphing Calculator Riemann Sum Found Here Chegg Com

Solved Example 2 Approximating Areas With Riemann Sums S Chegg Com

Solved Example 2 Approximating Areas With Riemann Sums S Chegg Com

1 2 Pts Use The Sage Math Computation Cell Abov Chegg Com

1 2 Pts Use The Sage Math Computation Cell Abov Chegg Com

Solved Compute A Midpoint Riemann Sum To Approximate Chegg Com

Solved Compute A Midpoint Riemann Sum To Approximate Chegg Com

Https Mrsbrach Weebly Com Uploads 2 3 1 8 23180336 4 6 Circuittrainingriemannsumscalculus Solutions Pdf

Https Mrsbrach Weebly Com Uploads 2 3 1 8 23180336 4 6 Circuittrainingriemannsumscalculus Solutions Pdf

Solved Worksheet On Riemann Sum Approximations 1 Use The Chegg Com

Solved Worksheet On Riemann Sum Approximations 1 Use The Chegg Com

Solved A Use F 0 8x2 I Sin 1x For The Function A Chegg Com

Solved A Use F 0 8x2 I Sin 1x For The Function A Chegg Com

Riemann Sums In Summation Notation Challenge Problem Video Khan Academy

Riemann Sums In Summation Notation Challenge Problem Video Khan Academy

1

1

Source : pinterest.com