Fourier Transform Table Draft Fourier Transformation Transformations Mathematics

Fourier Transform Table Draft Fourier Transformation Transformations Mathematics

Fourier Transform Theorems Free Math Resources Transformations Theorems

Fourier Transform Theorems Free Math Resources Transformations Theorems

Prove This Fourier Transform Table From Physics And Mathematics Studying Math Fourier Transformation

Prove This Fourier Transform Table From Physics And Mathematics Studying Math Fourier Transformation

Fourier Transform Table Dress Fourier Transformation Maths Algebra Mathematics

Fourier Transform Table Dress Fourier Transformation Maths Algebra Mathematics

Fourier Transform Table Outline Math Formulas Physics And Mathematics Maths Solutions

Fourier Transform Table Outline Math Formulas Physics And Mathematics Maths Solutions

Fourier Transform Table Engraving Physics Notes Physics Tricks Transformations

Fourier Transform Table Engraving Physics Notes Physics Tricks Transformations

Fourier Transform Table Engraving Physics Notes Physics Tricks Transformations >

Discrete Time Fourier Physics And Mathematics Discrete Mathematics Laplace Transform

Discrete Time Fourier Physics And Mathematics Discrete Mathematics Laplace Transform

Image Result For Fourier Transform Math Words Word Search Puzzle

Image Result For Fourier Transform Math Words Word Search Puzzle

Fourier Transform Table Stamp Earth Science Transformations Knowledge

Fourier Transform Table Stamp Earth Science Transformations Knowledge

Fourier Transform Table Draft Fourier Transformation Transformations Mathematics

Fourier Transform Table Draft Fourier Transformation Transformations Mathematics

Cheat Sheet Continuous Signals Discrete Signals Formula Sheet Formulas Fourier Series Laplace Transform Sig Studying Math Laplace Transform Study Quotes

Cheat Sheet Continuous Signals Discrete Signals Formula Sheet Formulas Fourier Series Laplace Transform Sig Studying Math Laplace Transform Study Quotes

Fourier Transforms Youtube Electrical Engineering Transformations Engineering

Fourier Transforms Youtube Electrical Engineering Transformations Engineering

Laplace In S Domain Laplace Laplace Transform Math Methods

Laplace In S Domain Laplace Laplace Transform Math Methods

Fourier Transformation Und Laplace Transformation Nel 2020

Fourier Transformation Und Laplace Transformation Nel 2020

Pin By Hopeful Prepper On Mathz Physics And Mathematics Mathematics Education Electrical Engineering

Pin By Hopeful Prepper On Mathz Physics And Mathematics Mathematics Education Electrical Engineering

Fft Fast Fourier Transform Waveform Analysis Physics And Mathematics Physics Mechanics Math Formulas

Fft Fast Fourier Transform Waveform Analysis Physics And Mathematics Physics Mechanics Math Formulas

Laplace Transform Table Buscar Con Google Laplace Transform Laplace College Math

Laplace Transform Table Buscar Con Google Laplace Transform Laplace College Math

Maxwellsequations Math Formulas Physics Formulas Physics And Mathematics

Maxwellsequations Math Formulas Physics Formulas Physics And Mathematics

Image Result For Fourier Transform Math Transformations Image

Image Result For Fourier Transform Math Transformations Image

The Laplace Transform Laplace Transform Laplace Studying Math

The Laplace Transform Laplace Transform Laplace Studying Math

Signals Systems For Dummies Cheat Sheet Laplace Transform Cheating Cheat Sheets

Signals Systems For Dummies Cheat Sheet Laplace Transform Cheating Cheat Sheets

Laplace Transform Table Google Leit Laplace Transform Laplace Physics And Mathematics

Laplace Transform Table Google Leit Laplace Transform Laplace Physics And Mathematics

Fourier Transform Google Search Physics And Mathematics Learning Math Math Formulas

Fourier Transform Google Search Physics And Mathematics Learning Math Math Formulas

Audio And Digital Signal Processing Dsp In Python Python For Engineers In 2020 Digital Signal Processing Signal Processing Discrete Fourier Transform

Audio And Digital Signal Processing Dsp In Python Python For Engineers In 2020 Digital Signal Processing Signal Processing Discrete Fourier Transform

Https Encrypted Tbn0 Gstatic Com Images Q Tbn And9gcst3eyyj2rokwlxlvyyd0ytk0bg W9a7hb Qduypjq5 Yeidjdf Usqp Cau

Https Encrypted Tbn0 Gstatic Com Images Q Tbn And9gcst3eyyj2rokwlxlvyyd0ytk0bg W9a7hb Qduypjq5 Yeidjdf Usqp Cau

How Does The Phase Plot Of Fourier Transform Of Sine Wave Look Like Quora Sine Wave Sines Waves

How Does The Phase Plot Of Fourier Transform Of Sine Wave Look Like Quora Sine Wave Sines Waves

Laplace Table In 2020 Laplace Transform Laplace Physics And Mathematics

Laplace Table In 2020 Laplace Transform Laplace Physics And Mathematics

Signals Systems For Dummies Cheat Sheet In 2020 Laplace Transform Cheat Sheets Cheating

Signals Systems For Dummies Cheat Sheet In 2020 Laplace Transform Cheat Sheets Cheating

Computing Fft Twiddle Factors Signal Processing Digital Signal Processing Computer

Computing Fft Twiddle Factors Signal Processing Digital Signal Processing Computer

Complete Table Of Integrals In A Single Sheet Table Of Trig Integrals All The Immediate Integrals Indefinite I In 2020 Math Formulas Math Formula Chart Math Methods

Complete Table Of Integrals In A Single Sheet Table Of Trig Integrals All The Immediate Integrals Indefinite I In 2020 Math Formulas Math Formula Chart Math Methods

Electrical Engineering Ch 19 Fourier Transform 9 Of 45 Conv From Fourier Series To Transform Youtube In 2020 Electrical Engineering Engineering Youtube

Electrical Engineering Ch 19 Fourier Transform 9 Of 45 Conv From Fourier Series To Transform Youtube In 2020 Electrical Engineering Engineering Youtube

Fourier Transform Google Search Physics And Mathematics Math Formulas Learning Math

Fourier Transform Google Search Physics And Mathematics Math Formulas Learning Math

Mathematics Of The Discrete Fourier Transform Dft With Audio Applications Second Edition Discrete Fourier Transform Mathematics Dft

Mathematics Of The Discrete Fourier Transform Dft With Audio Applications Second Edition Discrete Fourier Transform Mathematics Dft

Tipsntricks Signals And Systems Formula Sheet Studying Math Calculus Laplace Transform

Tipsntricks Signals And Systems Formula Sheet Studying Math Calculus Laplace Transform

This Is The Real Periodic Table They Should Teach In School Periodic Table Teaching School

This Is The Real Periodic Table They Should Teach In School Periodic Table Teaching School

Pin On Physics

Pin On Physics

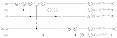
Quantum Circuit For Quantum Fourier Transform With N Qubits Without Rearranging The Order Of Output States It Uses The Bin Quantum Transformations Notations

Quantum Circuit For Quantum Fourier Transform With N Qubits Without Rearranging The Order Of Output States It Uses The Bin Quantum Transformations Notations

Twitter

Twitter

To Learn Fourier Sine Transform Let S Have A Look At Fourier Transform Of A Function Transformation Refers To The Change Transformations Sines Mathematician

To Learn Fourier Sine Transform Let S Have A Look At Fourier Transform Of A Function Transformation Refers To The Change Transformations Sines Mathematician

Fourier Transform Original Function Showing Oscillation 3 Hz Transformations Cycle Chart

Fourier Transform Original Function Showing Oscillation 3 Hz Transformations Cycle Chart

Pin On Calculus

Pin On Calculus

Fourier Transform Transformations Labels Chart

Fourier Transform Transformations Labels Chart

Preview How The Fourier Transform Works Lecture 4 Euler S Identity Full Video Youtube Math Methods Learn Math Online Mental Math

Preview How The Fourier Transform Works Lecture 4 Euler S Identity Full Video Youtube Math Methods Learn Math Online Mental Math

Resultado De Imagem Para Fourier Transform Mathematics Learning Styles Math

Resultado De Imagem Para Fourier Transform Mathematics Learning Styles Math

Mechanical Tips By Er Saurav Sahgal Moment Of Inertia Engineering Notes Physics Formulas In This Moment

Mechanical Tips By Er Saurav Sahgal Moment Of Inertia Engineering Notes Physics Formulas In This Moment

Tipsntricks Signals And Systems Formula Sheet Laplace Transform Calculus System

Tipsntricks Signals And Systems Formula Sheet Laplace Transform Calculus System

Image Result For Integration Formula Math Formulas Physics Formulas Calculus

Image Result For Integration Formula Math Formulas Physics Formulas Calculus

O G Spectral Types Tutorial Astronomy Chart

O G Spectral Types Tutorial Astronomy Chart

Deflection In Beams بحث Google Beams Penny Science

Deflection In Beams بحث Google Beams Penny Science

Https Encrypted Tbn0 Gstatic Com Images Q Tbn And9gctdn8pxsoajmuzf3auf9m9nvhfw4mc3xcjqqejhzwp4 Ra Sfx0 Usqp Cau

Https Encrypted Tbn0 Gstatic Com Images Q Tbn And9gctdn8pxsoajmuzf3auf9m9nvhfw4mc3xcjqqejhzwp4 Ra Sfx0 Usqp Cau

Source : pinterest.com