The T Table For The T Distribution Is Different From The Z Table For The Z Distribution Make Sure You Understand Th Statistics Math Formulas Learning Math

The T Table For The T Distribution Is Different From The Z Table For The Z Distribution Make Sure You Understand Th Statistics Math Formulas Learning Math

Pin On Learn

Pin On Learn

Six Sigma Conversion Tables Lean Sigma Sigma Conversion Table

Six Sigma Conversion Tables Lean Sigma Sigma Conversion Table

Chemistry Nomenclature Organic Chemistry Study Organic Chemistry Organic Chemistry Notes

Chemistry Nomenclature Organic Chemistry Study Organic Chemistry Organic Chemistry Notes

Mathematics For Blondes Table Of Squares Of Natural Numbers Math Tutorials Basic Math Math Vocabulary

Mathematics For Blondes Table Of Squares Of Natural Numbers Math Tutorials Basic Math Math Vocabulary

Mathematics For Blondes Table Of Squares Of Natural Numbers Math Tutorials Basic Math Math Vocabulary >

Construction Knowledge Civil Engineering Construction Cyrus Blog In 2020 Civil Engineering Design Civil Engineering Civil Engineering Construction

Construction Knowledge Civil Engineering Construction Cyrus Blog In 2020 Civil Engineering Design Civil Engineering Civil Engineering Construction

Why Economists Are Paid So Much With Images Employment Statistics Economist Sociology

Why Economists Are Paid So Much With Images Employment Statistics Economist Sociology

Wordpress Com Periodic Table Printable Chemistry Periodic Table Element Chemistry

Wordpress Com Periodic Table Printable Chemistry Periodic Table Element Chemistry

Square And Cube Root Table Image Collections Table Decoration Ideas Root Table Math Formula Chart Math Charts

Square And Cube Root Table Image Collections Table Decoration Ideas Root Table Math Formula Chart Math Charts

Image Result For Square Root Table Square Roots Root Table Elementary Writing

Image Result For Square Root Table Square Roots Root Table Elementary Writing

How To Determine A P Value When Testing A Null Hypothesis Statistics Math P Value Normal Distribution

How To Determine A P Value When Testing A Null Hypothesis Statistics Math P Value Normal Distribution

Periodic Table Database Chemogenesis Periodic Chart Periodic Table Database

Periodic Table Database Chemogenesis Periodic Chart Periodic Table Database

Dr Frank S Science Page College Chemistry Chemistry Teaching Chemistry

Dr Frank S Science Page College Chemistry Chemistry Teaching Chemistry

Excel Magic Trick 538 Dynamic Sub Tables Based On Master Sheet Array Formula Drilling Through Youtube Excel Trick Drill

Excel Magic Trick 538 Dynamic Sub Tables Based On Master Sheet Array Formula Drilling Through Youtube Excel Trick Drill

Taking Hash Tables Off The Shelf In 2020 Learn Programming Homeschool Math Data Science

Taking Hash Tables Off The Shelf In 2020 Learn Programming Homeschool Math Data Science

Numbers Math Symbolism Math Tables Facts And Formulas Mathematiques Science Erich Von Stroheim

Numbers Math Symbolism Math Tables Facts And Formulas Mathematiques Science Erich Von Stroheim

12 Multiplication Chart Worksheets Multiplication Chart Multiplication Table Printable Multiplication Chart Printable

12 Multiplication Chart Worksheets Multiplication Chart Multiplication Table Printable Multiplication Chart Printable

Six Sigma Conversion Values Table In 2020 Six Sigma Tools Lean Six Sigma Sigma

Six Sigma Conversion Values Table In 2020 Six Sigma Tools Lean Six Sigma Sigma

Three Periodic Tables For Data Scientists Data Science Central Data Science Data Scientist Periodic Table

Three Periodic Tables For Data Scientists Data Science Central Data Science Data Scientist Periodic Table

Basic Si Units And Prefixes Chart Prefixes Basic Physics Unit Conversion Chart

Basic Si Units And Prefixes Chart Prefixes Basic Physics Unit Conversion Chart

Https Encrypted Tbn0 Gstatic Com Images Q Tbn And9gcrx45zqkqhwz9rkd58exohp26opc4vdbpc6qg Usqp Cau

Https Encrypted Tbn0 Gstatic Com Images Q Tbn And9gcrx45zqkqhwz9rkd58exohp26opc4vdbpc6qg Usqp Cau

Timeline Structural Theory Chemogenesis Chemistry Lessons Timeline Theories

Timeline Structural Theory Chemogenesis Chemistry Lessons Timeline Theories

1

1

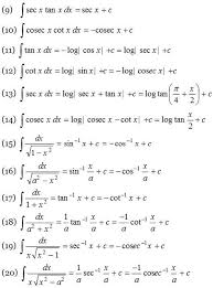
Integration Rules And Formulas Math Formulas Studying Math Math Methods

Integration Rules And Formulas Math Formulas Studying Math Math Methods

1870 Baker S Electro Chemical Series Chemical Engineering Chemistry Study Notes

1870 Baker S Electro Chemical Series Chemical Engineering Chemistry Study Notes

This 24 X 36 Periodic Table Of The Elements Poster Is A Must For Anyone Involved Wit Periodic Table Of The Elements Element Chemistry General Knowledge Facts

This 24 X 36 Periodic Table Of The Elements Poster Is A Must For Anyone Involved Wit Periodic Table Of The Elements Element Chemistry General Knowledge Facts

Other Classifications In The Periodic Tables Below Elements Have Been Color Coded To He Periodic Table Periodic Chart Periodic Table Of The Elements

Other Classifications In The Periodic Tables Below Elements Have Been Color Coded To He Periodic Table Periodic Chart Periodic Table Of The Elements

Fresh Periodic Table Metalloids Tablepriodic Priodic Tablepriodicsample Periodic Table Element Quiz Learning Worksheets

Fresh Periodic Table Metalloids Tablepriodic Priodic Tablepriodicsample Periodic Table Element Quiz Learning Worksheets

Pin On Obrazovanie

Pin On Obrazovanie

Allahabad University Time Table 2016 Evening Shift Business And Economics Education Free Web Hosting

Allahabad University Time Table 2016 Evening Shift Business And Economics Education Free Web Hosting

Ever Want To Know How To Convert Between Different Types Of Units Unit Conversion Chart Measurement Conversions Metric Conversion Chart

Ever Want To Know How To Convert Between Different Types Of Units Unit Conversion Chart Measurement Conversions Metric Conversion Chart

Mathematics For Schoolkid And Students With Images Mathematical Expression Math Charts Natural Number

Mathematics For Schoolkid And Students With Images Mathematical Expression Math Charts Natural Number

50 Things You Can Do With Excel Pivot Tables In 2020 Excel Tutorials Microsoft Excel Microsoft Excel Tutorial

50 Things You Can Do With Excel Pivot Tables In 2020 Excel Tutorials Microsoft Excel Microsoft Excel Tutorial

Pka Values For Common Functional Groupa The Pka Table Is Your Friend Master Organic Chemi Organic Chemistry Organic Chemistry Study Organic Chemistry Jokes

Pka Values For Common Functional Groupa The Pka Table Is Your Friend Master Organic Chemi Organic Chemistry Organic Chemistry Study Organic Chemistry Jokes

Here Is A List Of Laplace Transforms For A Differential Equations Class This Tables Gives Many Of The Commonly Used Laplace Transform With Images Laplace Transform Laplace

Here Is A List Of Laplace Transforms For A Differential Equations Class This Tables Gives Many Of The Commonly Used Laplace Transform With Images Laplace Transform Laplace

Pin On Homeschooling Ideas

Pin On Homeschooling Ideas

Highlight Tables Can Be A Great Way To Help Users Quickly Spot The Most Highlights How To Apply Levels

Highlight Tables Can Be A Great Way To Help Users Quickly Spot The Most Highlights How To Apply Levels

Chapter 25 Section 4 Organic Chemistry Study Chemistry Lessons Organic Chemistry

Chapter 25 Section 4 Organic Chemistry Study Chemistry Lessons Organic Chemistry

Living World Ncert Google Search World Biology Live

Living World Ncert Google Search World Biology Live

Periodic Table Elements List With Charges Flinnsci Chemistry Teaching Chemistry Chemistry Lessons Science Chemistry

Periodic Table Elements List With Charges Flinnsci Chemistry Teaching Chemistry Chemistry Lessons Science Chemistry

50 Things You Can Do With Excel Pivot Tables Free Microsoft Excel Tutorials Excel Tutorials Excel Shortcuts Microsoft Excel Formulas

50 Things You Can Do With Excel Pivot Tables Free Microsoft Excel Tutorials Excel Tutorials Excel Shortcuts Microsoft Excel Formulas

Dmr S Physics Notes Dimensional Formulae Physics Formulas Physics Notes Basic Physics Formulas

Dmr S Physics Notes Dimensional Formulae Physics Formulas Physics Notes Basic Physics Formulas

Getpivotdata Problems With Subtotals Pivot Table Excel Job Hunting

Getpivotdata Problems With Subtotals Pivot Table Excel Job Hunting

Statistics Teaching Resources Teaching Resources Gcse Maths Revision Frequency Table

Statistics Teaching Resources Teaching Resources Gcse Maths Revision Frequency Table

Gemeinsame Mehratomige Ionen Kurze Liste Gemeinsame Ionen Kurze Liste Mehratomige Bildung Teaching Chemistry Chemistry Lessons Chemistry Help

Gemeinsame Mehratomige Ionen Kurze Liste Gemeinsame Ionen Kurze Liste Mehratomige Bildung Teaching Chemistry Chemistry Lessons Chemistry Help

Schematic Symbols Chart Wiring Diargram Schematic Symbols From April 1955 Popular Electronics Electrical Symbols Electrical Wiring Home Electrical Wiring

Schematic Symbols Chart Wiring Diargram Schematic Symbols From April 1955 Popular Electronics Electrical Symbols Electrical Wiring Home Electrical Wiring

Table Of Functional Group Priorities For Nomenclature Master Organic Chemistry Organic Chemistry Functional Groups Organic Chemistry Teaching Chemistry

Table Of Functional Group Priorities For Nomenclature Master Organic Chemistry Organic Chemistry Functional Groups Organic Chemistry Teaching Chemistry

Https Encrypted Tbn0 Gstatic Com Images Q Tbn And9gcq4lqvx 40m0kxvocz1wzfgi3damrgsl Pzuniy3alwuxo8lpro Usqp Cau

Https Encrypted Tbn0 Gstatic Com Images Q Tbn And9gcq4lqvx 40m0kxvocz1wzfgi3damrgsl Pzuniy3alwuxo8lpro Usqp Cau

Source : pinterest.com